爬楼梯

leetcode70. 爬楼梯

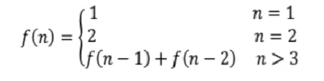
针对这题,实际我们可以对其理解为:

对于每两个阶梯要么走1阶,要么走2阶。

解答一(超时):

class Solution {
    public int climbStairs(int n) {
        if (n <= 2) {
            return n;
        }
        return climbStairs(n - 1) + climbStairs(n - 2);
    }
}
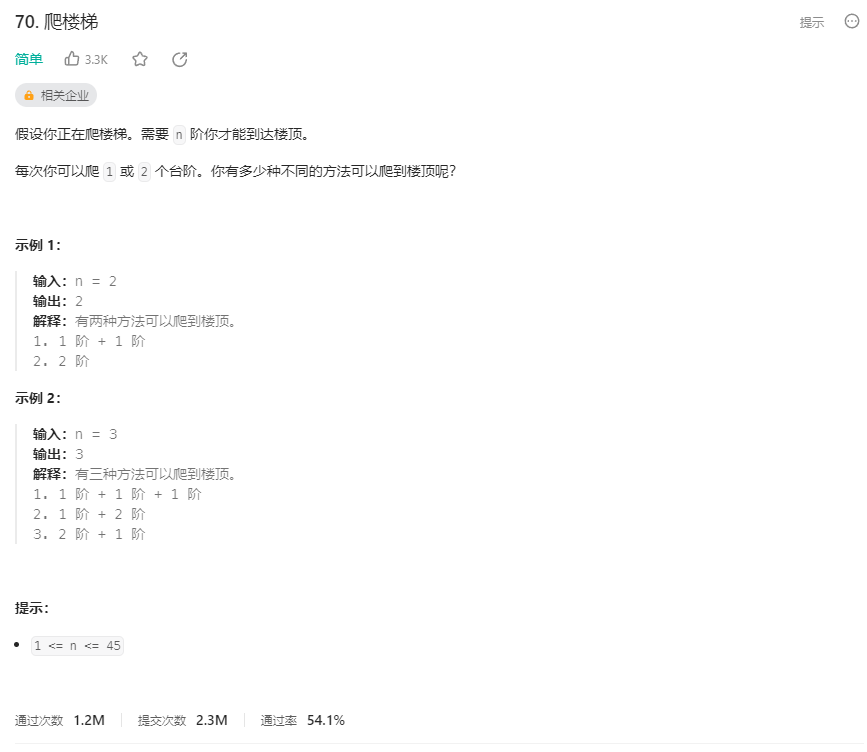
问题在于,会存在重复计算的值,如图:
运行结果

解答二:

针对重复计算的问题,我们对其使用HashMap存储,如果再次计算时,直接从HashMap中取即可。

HashMap要放到递归方法外,否则不是同一个对象,全不走存储,会超出时间限制。

class Solution {
    private Map<Integer, Integer> map = new HashMap<>();

    public int climbStairs(int n) {
        if (n == 1) {
            return 1;
        }
        if (n == 2) {
            return 2;
        }
        if (null != map.get(n)) {
            return map.get(n);
        } else {
            int result = climbStairs(n - 1) + climbStairs(n - 2);
            map.put(n, result);
            return result;
        }
    }
}

解答三:

由底向上叠加

class Solution {
    public int climbStairs(int n) {
        if (n == 1) return 1;
        if (n == 2) return 2;
        int result = 0;
        int prePre = 1;
        int pre = 2;
        for (int i = 3; i <= n; i++) {
            result = prePre + pre;
            prePre = pre;
            pre = result;
        }
        return result;
    }
}
暂无评论

发送评论 编辑评论

|´・ω・)ノ
ヾ(≧∇≦*)ゝ
(☆ω☆)
(╯‵□′)╯︵┴─┴
 ̄﹃ ̄
(/ω\)
∠( ᐛ 」∠)_
(๑•̀ㅁ•́ฅ)
→_→
୧(๑•̀⌄•́๑)૭
٩(ˊᗜˋ*)و
(ノ°ο°)ノ
(´இ皿இ`)
⌇●﹏●⌇
(ฅ´ω`ฅ)
(╯°A°)╯︵○○○
φ( ̄∇ ̄o)
ヾ(´・ ・`。)ノ"
( ง ᵒ̌皿ᵒ̌)ง⁼³₌₃
(ó﹏ò。)
Σ(っ °Д °;)っ
( ,,´・ω・)ノ"(´っω・`。)
╮(╯▽╰)╭
o(*////▽////*)q
>﹏<
( ๑´•ω•) "(ㆆᴗㆆ)
😂
😀
😅
😊
🙂
🙃
😌
😍
😘
😜
😝
😏
😒
🙄
😳
😡
😔
😫
😱
😭
💩
👻
🙌
🖕
👍
👫
👬
👭
🌚
🌝
🙈
💊
😶
🙏
🍦
🍉
😣
Source: github.com/k4yt3x/flowerhd
颜文字
Emoji
小恐龙
花!
上一篇
下一篇