红黑树是一种自平衡的二叉搜索树,它在每个节点上增加了一个存储位来表示节点的颜色,可以是红色或黑色。红黑树具有以下特性:

- 每个节点要么是红色,要么是黑色。
- 根节点是黑色。
- 每个NULL节点看作黑色。
- 如果一个节点是红色,则它的子节点必须是黑色(红色节点不能连续出现相邻)。
- 从任一节点到其每个叶子的所有路径都包含相同数目的黑色节点(即保持黑色平衡)。
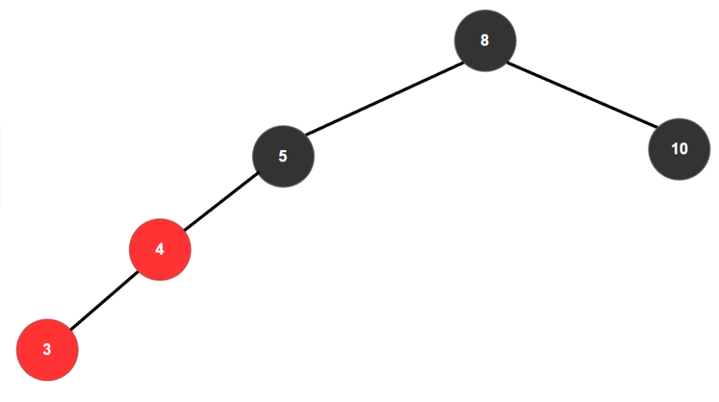
注意NULL节点看作黑色,所以下图不是红黑树,如图一个NULL节点路径只包含2个黑色节点

红黑树通过这些性质保证了树的平衡,从而在进行插入、删除等操作时能够保持较好的性能。
先创建个红黑树基本类
package com.dreams.Tree;
public class RedBlackTree {
enum Color {
RED, BLACK;
}
Node root;
static class Node {
int key;
Object value;
Node left;
Node right;
Node parent; // 父节点
Color color = Color.RED; // 颜色
public Node(int key, Object value) {
this.key = key;
this.value = value;
}
public Node(int key) {
this.key = key;
}
public Node(int key, Color color) {
this.key = key;
this.color = color;
}
public Node(int key, Color color, Node left, Node right) {
this.key = key;
this.color = color;
this.left = left;
this.right = right;
if (left != null) {
left.parent = this;
}
if (right != null) {
right.parent = this;
}
}
}
}完善
public class RedBlackTree {
enum Color {
RED, BLACK;
}
Node root;
static class Node {
int key;
Object value;
Node left;
Node right;
Node parent; // 父节点
Color color = RED; // 颜色
public Node(int key, Object value) {
this.key = key;
this.value = value;
}
public Node(int key) {
this.key = key;
}
public Node(int key, Color color) {
this.key = key;
this.color = color;
}
public Node(int key, Color color, Node left, Node right) {
this.key = key;
this.color = color;
this.left = left;
this.right = right;
if (left != null) {
left.parent = this;
}
if (right != null) {
right.parent = this;
}
}
// 是否是左孩子
boolean isLeftChild() {
return parent != null && parent.left == this;
}
// 叔叔
Node uncle() {
if (parent == null || parent.parent == null) {
return null;
}
if (parent.isLeftChild()) {
return parent.parent.right;
} else {
return parent.parent.left;
}
}
// 兄弟
Node sibling() {
if (parent == null) {
return null;
}
if (this.isLeftChild()) {
return parent.right;
} else {
return parent.left;
}
}
}
}
上述代码为了方便操作,定义了几个内部类的函数
判断是否是左孩子,因为已经维护了一个属性parent,所以简单判断即可。
// 是否是左孩子
boolean isLeftChild() {
return parent != null && parent.left == this;
}
在红黑树中,叔叔节点是指当前节点的父节点的兄弟节点。
// 叔叔
Node uncle() {
if (parent == null || parent.parent == null) {
return null;
}
if (parent.isLeftChild()) {
return parent.parent.right;
} else {
return parent.parent.left;
}
}
同样返回兄弟节点
// 兄弟
Node sibling() {
if (parent == null) {
return null;
}
if (this.isLeftChild()) {
return parent.right;
} else {
return parent.left;
}
}
上面的都是内部类方法,主要为了方便操作
下面的才是红黑树方法
因为可能会出现传入的是空指针,所以定义个方法获取是红节点还是黑节点
// 判断红
boolean isRed(Node node) {
return node != null && node.color == RED;
}
// 判断黑
boolean isBlack(Node node) {
return node == null || node.color == BLACK;
}
对指定节点进行左旋转以保持红黑树的性质
左旋前,如图先忽略红色和黑色节点颜色

左旋后

同样要注意pink节点不是根节点

代码如下
// 右旋 1. parent 的处理 2. 旋转后新根的父子关系
private void rightRotate(Node pink) {
Node parent = pink.parent;
Node yellow = pink.left;
Node green = yellow.right;
if (green != null) {
green.parent = pink;
}
yellow.right = pink;
yellow.parent = parent;
pink.left = green;
pink.parent = yellow;
if (parent == null) {
root = yellow;
} else if (parent.left == pink) {
parent.left = yellow;
} else {
parent.right = yellow;
}
}
// 左旋
private void leftRotate(Node pink) {
Node parent = pink.parent;
Node yellow = pink.right;
Node green = yellow.left;
if (green != null) {
green.parent = pink;
}
yellow.left = pink;
yellow.parent = parent;
pink.right = green;
pink.parent = yellow;
if (parent == null) {
root = yellow;
} else if (parent.left == pink) {
parent.left = yellow;
} else {
parent.right = yellow;
}
}
红黑树的插入操作是一个复杂但关键的过程,需要遵循一定的规则和步骤,以确保插入后的树仍然保持红黑树的性质。基本步骤如下:
- 将新节点插入到红黑树中,通常将新节点插入为红色节点。
- 插入节点为根节点,变为黑。
- 检查插入后的红黑树是否仍然满足红黑树的性质,红节点的子节点不能是红节点就是不能相邻。
- 插入节点为红色,父节点为黑色,不需要变化。
- 插入节点的父节点和叔叔节点都是红色,则将父亲变为黑色,为了保证黑色平衡,连带的叔叔也变为黑色,祖父如果是黑色不变,会造成这颗于树黑色过多,因此祖父节点变为红色,祖父如果变成红色,可能会接着触发红红相邻,因此对将祖父进行递归调整。
- 插入节点的父节点是红色,而叔叔节点是黑色或NULL节点:这种情况下,父亲为左孩于,插入节点也是左孩于,此时即LL不平衡;父亲为左孩子,插入节点是右孩子,此时即LR不平衡;父亲为右孩子,插入节点也是右孩子,此时即RR不平衡;父亲为右孩子,插入节点是左孩于,此时即RL不平衡,需要通过旋转操作来保持红黑树的性质。比如LR不平衡就父亲变黑,祖父变红,再以左旋(父亲左旋成LL)再祖父右旋。
- 最终通过旋转和颜色调整,使得插入后的红黑树恢复平衡,并且满足红黑树的所有性质。
/**
* 新增
* 正常增、遇到红红不平衡进行调整
* @param key 键
* @param value 值
*/
public void put(int key, Object value) {
Node p = root;
Node parent = null;
while (p != null) {
parent = p;
if (key < p.key) {
p = p.left;
} else if (p.key < key) {
p = p.right;
} else {
p.value = value; // 更新
return;
}
}
Node inserted = new Node(key, value);
if (parent == null) {
root = inserted;
} else if (key < parent.key) {
parent.left = inserted;
inserted.parent = parent;
} else {
parent.right = inserted;
inserted.parent = parent;
}
fixRedRed(inserted);
}在新增成功后需要调用修复函数fixRedRed(inserted)修复红黑树
LL操作:

来一次右旋操作

然后节点3(原父节点)变黑,节点5(原祖父节点)变红

LR操作:

先来一次左旋操作

节点4(原节点)变黑,节点5(原祖父节点)变红

在来一次右旋

代码:
void fixRedRed(Node x) {
// case 1 插入节点是根节点,变黑即可
if (x == root) {
x.color = BLACK;
return;
}
// case 2 插入节点父亲是黑色,无需调整
if (isBlack(x.parent)) {
return;
}
/* case 3 当红红相邻,叔叔为红时
需要将父亲、叔叔变黑、祖父变红,然后对祖父做递归处理
*/
Node parent = x.parent;
Node uncle = x.uncle();
Node grandparent = parent.parent;
if (isRed(uncle)) {
parent.color = BLACK;
uncle.color = BLACK;
grandparent.color = RED;
fixRedRed(grandparent);
return;
}
// case 4 当红红相邻,叔叔为黑时
if (parent.isLeftChild() && x.isLeftChild()) { // LL
parent.color = BLACK;
grandparent.color = RED;
rightRotate(grandparent);
} else if (parent.isLeftChild()) { // LR
leftRotate(parent);
x.color = BLACK;
grandparent.color = RED;
rightRotate(grandparent);
} else if (!x.isLeftChild()) { // RR
parent.color = BLACK;
grandparent.color = RED;
leftRotate(grandparent);
} else { // RL
rightRotate(parent);
x.color = BLACK;
grandparent.color = RED;
leftRotate(grandparent);
}
}
接下来是删除操作
首先需要一个方法查找删除节点
// 查找删除节点
private Node find(int key) {
Node p = root;
while (p != null) {
if (key < p.key) {
p = p.left;
} else if (p.key < key) {
p = p.right;
} else {
return p;
}
}
return null;
}
删除之后需要查找替代节点,如果传入的被删除节点没有左右子节点,那么直接返回null。如果只有一个子节点,则返回该子节点作为替代节点。如果有两个子节点,则找到右子树中最小的节点(后继节点)作为替代节点。
private Node findReplaced(Node deleted) {
if (deleted.left == null && deleted.right == null) {
return null;
}
if (deleted.left == null) {
return deleted.right;
}
if (deleted.right == null) {
return deleted.left;
}
Node s = deleted.right;
while (s.left != null) {
s = s.left;
}
return s;
}
删除函数,如果节点为空,直接返回,否则进入doRemove函数递归
public void remove(int key) {
Node deleted = find(key);
if (deleted == null) {
return;
}
doRemove(deleted);
}
逻辑在doRemove函数递归
这段代码实现了红黑树的删除操作:
- 首先,通过 findReplaced 方法找到要删除节点的替代节点 replaced。
- 如果要删除的节点没有孩子,则分为两种情况处理:
- 如果要删除的节点是根节点(deleted == root),则直接删除根节点。
- 如果要删除的节点不是根节点,且为黑色节点,则需要进行复杂的调整(fixDoubleBlack)。
- 如果要删除的节点是红色叶子节点,则可以直接删除,并更新父节点的引用。
- 如果要删除的节点只有一个孩子,则将该孩子节点替代要删除的节点,并进行相应的处理:
- 如果要删除的节点是根节点,则直接用替代节点覆盖根节点。
- 如果要删除的节点不是根节点,根据要删除节点在父节点的位置,将替代节点链接到父节点的相应位置。
- 删的是黑色节点,剩下的是红色节点,剩下这个红节点变黑即可
- 如果要删除的节点是黑色节点,并且替代节点也是黑色节点,则需要进行复杂的调整(fixDoubleBlack)。
- 如果要删除的节点是红色节点,直接替换即可。
- 如果要删除的节点有两个孩子,则找到其后继节点(replaced),交换要删除节点和后继节点的值,然后继续在后继节点上进行删除操作,也就是递归,递归最后走没有孩子的路。
代码如下
private void doRemove(Node deleted) {
Node replaced = findReplaced(deleted);
Node parent = deleted.parent;
// 没有孩子
if (replaced == null) {
// case 1 删除的是根节点
if (deleted == root) {
root = null;
} else {
if (isBlack(deleted)) {
// 复杂调整
fixDoubleBlack(deleted);
} else {
// 红色叶子, 无需任何处理
}
if (deleted.isLeftChild()) {
parent.left = null;
} else {
parent.right = null;
}
deleted.parent = null;
}
return;
}
// 有一个孩子
if (deleted.left == null || deleted.right == null) {
// case 1 删除的是根节点
if (deleted == root) {
root.key = replaced.key;
root.value = replaced.value;
root.left = root.right = null;
} else {
if (deleted.isLeftChild()) {
parent.left = replaced;
} else {
parent.right = replaced;
}
replaced.parent = parent;
deleted.left = deleted.right = deleted.parent = null;
if (isBlack(deleted) && isBlack(replaced)) {
// 复杂处理 @TODO 实际不会有这种情况 因为只有一个孩子时 被删除节点是黑色 那么剩余节点只能是红色不会触发双黑
fixDoubleBlack(replaced);
} else {
// case 2 删除是黑,剩下是红
replaced.color = BLACK;
}
}
return;
}
// case 0 有两个孩子 => 有一个孩子 或 没有孩子
int t = deleted.key;
deleted.key = replaced.key;
replaced.key = t;
Object v = deleted.value;
deleted.value = replaced.value;
replaced.value = v;
doRemove(replaced);
}
fixDoubleBlack方法用于处理双黑情况,即删除节点后可能会出现的问题。根据兄弟节点的颜色和侄子节点的颜色,分为不同的情况处理:
- Case 3:兄弟节点是红色,则两个侄子节点一定是黑色。
- Case 4:兄弟节点是黑色,且两个侄子节点也都是黑色。
- Case 5:兄弟节点是黑色,且至少有一个侄子节点是红色。
这段代码是红黑树中用于处理双黑节点的情况的方法 fixDoubleBlack:
- 首先判断传入的节点 x 是否为根节点,如果是根节点,则直接返回,因为根节点没有父节点。
- 获取节点 x 的父节点 parent 和兄弟节点 sibling。
- Case 3:兄弟节点是红色
- 如果兄弟节点 sibling 是红色节点,根据节点 x 在父节点中的位置进行相应的旋转操作,将情况转化为后续处理的情况。
- 将原来的父节点 parent 的颜色设为红色,原来的兄弟节点 sibling 的颜色设为黑色。
- 这个时候情况转化为后续处理的情况了,递归调用 fixDoubleBlack(x) 处理新的情况。
- Case 4:兄弟是黑色,两个侄子也是黑色
- 如果兄弟节点 sibling 是黑色,且其左右子节点都是黑色,则将兄弟节点 sibling 的颜色设为红色。
- 如果父节点 parent 是红色,则将其颜色设为黑色,这样就补齐了对于其他路径该路径少了的黑色节点。
- 但是如果父节点 parent 是黑色,这样就对于其他路径该路径少了一个黑色节点。所以递归调用 fixDoubleBlack(parent) 处理双黑节点的问题。
- Case 5:兄弟是黑色,侄子有红色
- 根据兄弟节点 sibling 和侄子节点的颜色情况,进行不同的旋转操作和颜色调整,以解决双黑节点带来的问题。
- 如果兄弟是左孩子,左侄子是红, LL不平衡
- 如果兄弟是左孩子,右侄于是红,LR 不平衡
- 如果兄弟是右孩于,右侄于是红,RR 不平衡
- 如果兄弟是右孩子,左侄子是红,RL 不平衡
- 分别处理 LL、LR、RL、RR 四种情况,并最终将父节点的颜色设为黑色。
- 如果兄弟节点 sibling 是左孩子且其左孩子节点红色(LL情况),则以父节点进行右旋转操作,并将原父节点设为黑色,原兄弟节点的颜色设为原父节点的颜色,原兄弟节点的左孩子节点设为黑色。
- 如果兄弟节点 sibling 是左孩子且其右孩子节点红色(LR情况),则先将原兄弟节点 sibling 的右孩子节点设为父节点的颜色(注意要这里先执行,否则旋转后右孩子就不是原来的节点了),然后进行以兄弟节点左旋转,再以父节点右旋转操作。原父节点变为黑。
- 如果兄弟节点 sibling 是右孩子且其左孩子节点红色(RL情况),则先将原兄弟节点 sibling 的左孩子节点设为父节点的颜色(注意要这里先执行,否则旋转后右孩子就不是原来的节点了),然后进行以兄弟节点右旋转,再以父节点左旋转操作。原父节点变为黑。
- 如果兄弟节点 sibling 是右孩子且其右孩子节点红色(RR情况),则以父节点进行左旋转操作,并将原兄弟节点 sibling 的右孩子节点设为黑色,原兄弟节点的颜色设为其原父节点的颜色。并将原父节点设为黑色。
- 最后,如果兄弟节点为 null 的情况,实际情况下不会出现,因为双黑节点的处理应该在有兄弟节点的情况下完成。因此,这里可以添加注释提醒可能的错误。
代码如下
// 处理双黑 (case3、case4、case5)
private void fixDoubleBlack(Node x) {
if (x == root) {
return;
}
Node parent = x.parent;
Node sibling = x.sibling();
// case 3 兄弟节点是红色
if (isRed(sibling)) {
if (x.isLeftChild()) {
leftRotate(parent);
} else {
rightRotate(parent);
}
parent.color = RED;
sibling.color = BLACK;
fixDoubleBlack(x);
return;
}
if (sibling != null) {
// case 4 兄弟是黑色, 两个侄子也是黑色
if (isBlack(sibling.left) && isBlack(sibling.right)) {
sibling.color = RED;
if (isRed(parent)) {
parent.color = BLACK;
} else {
fixDoubleBlack(parent);
}
}
// case 5 兄弟是黑色, 侄子有红色
else {
// LL
if (sibling.isLeftChild() && isRed(sibling.left)) {
rightRotate(parent);
sibling.left.color = BLACK;
sibling.color = parent.color;
}
// LR
else if (sibling.isLeftChild() && isRed(sibling.right)) {
sibling.right.color = parent.color;
leftRotate(sibling);
rightRotate(parent);
}
// RL
else if (!sibling.isLeftChild() && isRed(sibling.left)) {
sibling.left.color = parent.color;
rightRotate(sibling);
leftRotate(parent);
}
// RR
else {
leftRotate(parent);
sibling.right.color = BLACK;
sibling.color = parent.color;
}
parent.color = BLACK;
}
} else {
// @TODO 实际也不会出现,触发双黑后,兄弟节点不会为 null
fixDoubleBlack(parent);
}
}
参考


